How does PVA polymerize?

polyvinyl acetate (PVAc), a synthetic resin prepared by the polymerization of vinyl acetate. The monomer can be polymerized while dispersed in water to form a milky-white emulsion. This fluid can be processed directly into latex paints, in which the PVAc forms a strong, flexible, adherent film.

What does polyvinyl acetate react with?

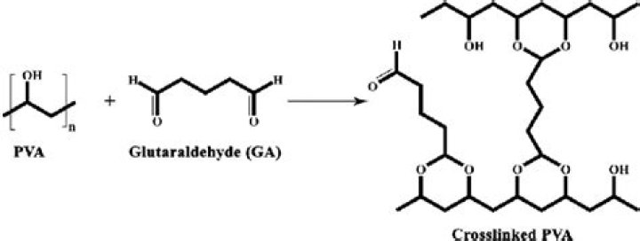
Polyvinyl alcohol can be converted to different esters, or it can be reacted with aldehydes, such as butyraldehyde or formaldehyde, to form acetals. Polyvinyl alcohol can be esterified with nitric acid to produce an explosive polymer.

How polyvinyl acetate is formed?

4.1 Polyvinyl Acetate The emulsion is formed by polymerization in water of vinyl monomers, predominantly vinyl acetate, a process known as emulsion polymerization. The emulsion is white to off-white in color and is the familiar ‘white glue’ used in many household projects.

What does PVA break down into?

While other vinyl polymers are prepared by polymerization of its corresponding monomer, PVA undergoes either partial or complete hydrolysis of polyvinyl acetate to remove acetate groups.

Why is PVA soluble in water?

PVA is highly soluble in water as it comprises a large amount of hydroxyl groups, which interact with the water molecules through hydrogen bonds. The PVA solubility depends on its degree of hydrolysis and molecular weight [31]. The degree of hydrolysis of the PVA is inversely proportional to its solubility.

What elements are in polyvinyl acetate?

Poly(vinyl acetate) was discovered in Germany in 1912 by Fritz Klatte. The monomer, vinyl acetate, was first produced on an industrial scale by the addition of acetic acid to acetylene with a mercury(I) salt, but it is now primarily made by palladium-catalyzed oxidative addition of acetic acid to ethylene.

Which is the most widely used polymerization technique to produce polyvinyl Actate?

1. Which is the most widely used polymerization technique to produce polyvinyl actate? Explanation: Poly vinyl acetate is generally used as emulsion, and therefore emulsion polymerization is widely employed for the production of poly vinyl acetate.

Where is polyvinyl acetate produced?

In 2020, PVAc homopolymer production in mainland China accounts for over 64% of all PVAc. The PVAc copolymers produced in mainland China are largely VAE and vinyl acetate/acrylic ester copolymers. PVAc is used for adhesives, coatings, construction, and other uses.

Does PVA create Microplastics?

Does Polyvinyl Alcohol contain microplastics? PVA dissolves into a non-harmful monomer (i.e., NOT microplastics). Scientists tell us that the monomers eventually decompose into reusable nutrients over time.

What happens to PVA in water?

Poly(vinyl alcohol) (PVA) is a water soluble polymer whose water solubility depends on its degree of hydrolysis, molecular weight, and tendency to hydrogen bond in aqueous solutions. PVA exhibits both upper and lower critical solubility temperatures and can be readily solubilized in water.

What dissolves polyvinyl acetate?

Polyvinylacetate (from glue) is specified to dissolve in esters, ketones and chlorinated hydrocarbons. Also, methanol, ethanol and white-spirit are known to dissolve it.