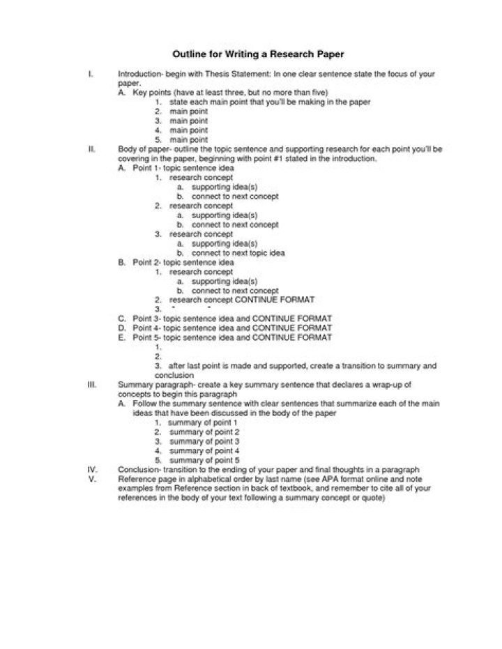
How do you write an outline for a research paper?

To create an outline:

  1. Place your thesis statement at the beginning.
  2. List the major points that support your thesis. Label them in Roman Numerals (I, II, III, etc.).
  3. List supporting ideas or arguments for each major point.
  4. If applicable, continue to sub-divide each supporting idea until your outline is fully developed.

How should a 4th grader write a research paper?

In order to write a research paper, 4th grade students should think carefully about the topic they choose and follow the steps of the writing process.

  1. Prewriting Phase of Research.
  2. Drafting Phase of Research.
  3. Edit and Revise.
  4. Publish Your Research Paper.

How should a beginner write a research paper?

How to write a research paper

  1. Understand the assignment.
  2. Choose a research paper topic.
  3. Conduct preliminary research.
  4. Develop a thesis statement.
  5. Create a research paper outline.
  6. Write a first draft of the research paper.
  7. Write the introduction.
  8. Write a compelling body of text.

How do you explain research to a child?

Research is the process of solving problems and finding facts in an organised way. Research is done by using what is known (if anything), and building on it. Additional knowledge can be got by proving (or falsifying) existing theories, and by trying to better explain observations.

What are the basic parts of a research paper?

The major parts of a research paper are abstract,Introduction,review of literature,research methods,findings and analysis,discussion,limitations,future scope and references.

How do you write a research paper for middle school?

Let’s review the steps to make this process as PAINLESS as possible:

  1. Start early — 3 weeks in advance!
  2. Read the guidelines.
  3. Mind map/Brainstorm research paper topics.
  4. Write out your questions.
  5. Do the research (Remember to keep track of your sources!)
  6. Create a Thesis Statement.
  7. Create an outline.
  8. Write your essay.

What is research skills for kids?

Research is an essential applied skill; one that not only advances the knowledge horizons of children to help them better understand the world they live in—but is also a proven way through which they can learn to independently find data, analyze it (even to assess its integrity) and then use it to solve a problem.

How do you research elementary school?

Here are some good sources of information:

  1. Your state department of education. Many states rank their school districts, and offer other vital statistics to the public.
  2. Parent Teacher Associations.
  3. Real estate agents.
  4. Local newspapers.
  5. The National Association for the Education of Young Children.
  6. The schools themselves.